Following the latest government guidance to combat the Coronavirus (COVID-19) pandemic we have made the necessary changes within our depots and how we conduct our business to reflect the 'new normal' in our day-day operations.
We have compiled a list of documents that are designed to reassure both our customers and colleagues alike, which detail the measures that have been put in place and have become our new normal.
- COVID-19 Secure document
- Burnley Depot - site layout plan
- Wakefield Depot - site layout plan
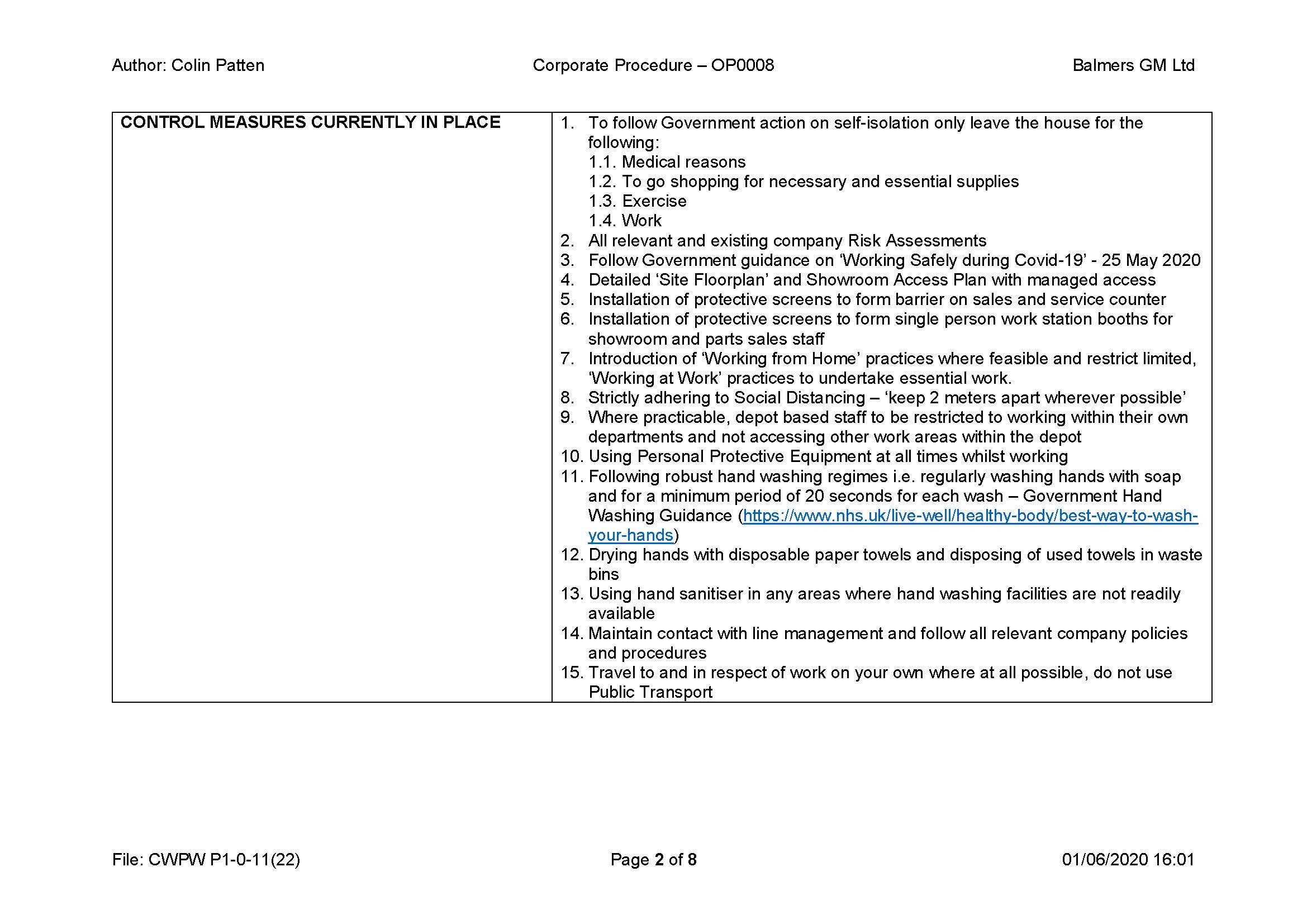
- Risk Assessment & Method Statement: "Working Safely during the Coronavirus (COVID-19) pandemic"

Burnley Depot site layout plan

Wakefield Depot site layout plan

Risk Assessment & Method Statement:
"Working Safely during the Coronavirus (COVID-19) pandemic"







